Cummins-Generator ist fast das beliebteste Generatorsatz weit verbreitet in allen Arten von Kraftwerksindustrie weltweit. Das globale Servicenetzwerk von Cummins Dieselmotor kann den Kunden einen zuverlässigen und garantierten Service bieten. Der Leistungsbereich von Cummins Aggregat aus 24kw bis zu 1800kw .
1. Cummins Engine Generator Hauptspezifikation
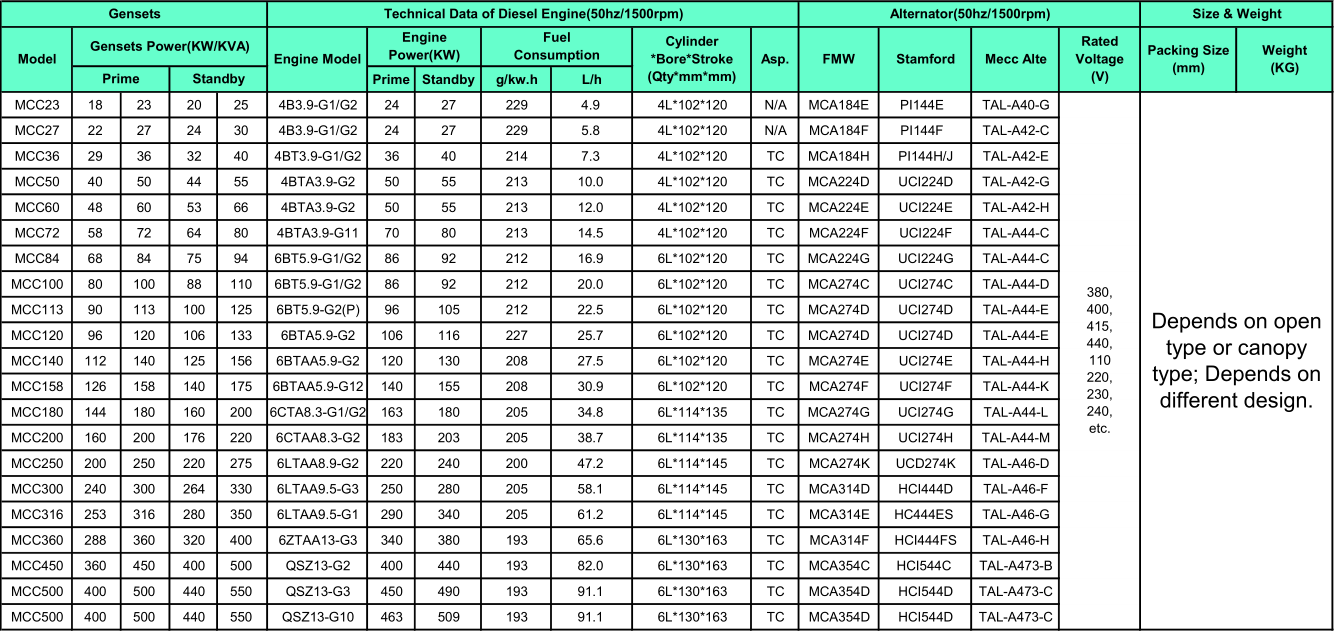
Dongfeng Cummins Generator

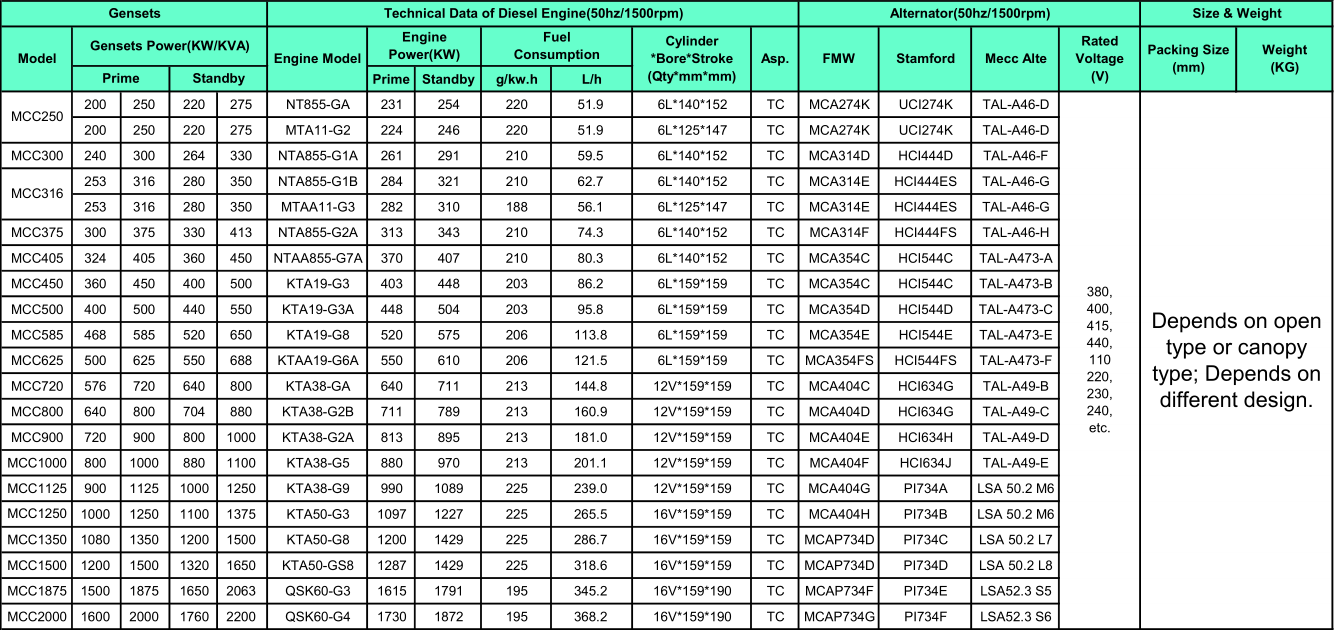
Chongqing Cummins Generator

2. Cummins Generator Se t
3. Generator Features und Lieferumfang
|
Normteile
|
Optionale Teile
|
|
Brandneuer Ricardo, Lijia und Styer Dieselmotor
|
Original Stamford, Leroy Somer und Mecc Alte Generator
|
|
Brandneuer bürstenloser MCA-Generator (Klasse H, IP23, AVR)
|
Generatorsteuerungssystem des automatischen Transferschalters (A.T.S)
|
|
Heavy Duty Stahlrahmen mit 8 Stunden Tank
|
Parallele Generatorsteuerung
|
|
2MM-4MM Stahl schalldichte Überdachung für leisen Generator
|
Customized Tank größer als 8 Stunden Laufen
|
|
Schutzgitter mit Schutznetz
|
Schwerlast 50 ℃ Messing Heizkörper
|
|
Heavy-Duty-Gummi-Schwingungsdämpfer
|
Deepsea7320, Smartgen6110 oder ComAp AMF25 Generatorsteuerung
|
|
Schwerer industrieller Schalldämpfer mit flexiblem Mund
|
Warmwasserbereiter / Ölheizung für extrem kaltes Wetter
|
|
State-Standard-Hochleistungs-Batterie ohne Wartung
|
Elektronik wie ABB, Schneider und Siemens
|
|
Deepsea6020, Smartgen420 oder ComAp MRS11 Generator-Controller
|
Cumtomized super leiser Baldachin mit Schwamm mit hoher Dichte
|
|
Niedriger Öldruck, Überhitzung, Überlast und Überdrehzahlschutz
|
Spezialteil als Edelstahlschlüssel, Ölablasspumpe, Staubfilter etc
|
|
State-Standard-Elektronik wie Kabel, Circuit Breaker, Relais, Lampe, Sicherung, Stop Gerät.
|
Extra Motor und Generator Ersatzteile wie Filter, Dichtung, Düse, AVR, Gleichrichter
|
|
Werkzeugsatz mit Betriebsanleitungen von Generator, Motor und Generator
|
Deluxe Werkzeugkiste mit verschiedenen Werkzeugen für die Wartung
|
4. Kriterium und Zertifikat

5. Vorteil unseres Dieselgenerators

① Hochwertige Materialien und Ersatzteile
● Von Schrauben, Lagern, Lärmschwämmen, Drähten, Schwingungsdämpfern, Relais, AVRs, Dioden, Manometern, Kiefern bis hin zu Kupferdrähten, Stahlplatten, Zählern, Controllern, Batterien, AMF, ATS und so weiter.
② Hochausgebildetes und erfahrenes Forschungs- und Entwicklungsteam
● Mit einem hochprofessionellen Forschungs- und Entwicklungsteam kann nicht nur FMW Power Manufactuer Standard zuverlässiger Qualitätsgenerator aber auch FMW-Energie kann verschiedene Arten des Generators wie super leiser Generator entwerfen, Container-Kraftwerk, intelligenter Generator nach den individuellen Anforderungen des Kunden.
③ Zuverlässige Leistung und Kriterium
Spannungsregulierung:
● Einstellbereich der Leerlaufspannung (95-105)% Un
● Stationäre Spannungsregelungsrate ≤ ± 1,0%
● Tr Anisient-State-Spannungsregulierungsrate ≤ + 20% / - 15%
● Spannungswiederherstellungszeit≤1.0S
● Spannungsschwankungsverhältnis ≤ ± 0,5%
● Kalt- / Heißspannungsverhältnis ≤2%
Frequenz / Geschwindigkeitswellung:
● Ändern der Last von 0-100%, Frequenz / Drehzahl-Droop-Verhältnis innerhalb von 5%.
● Last von 25-100%, jede stetige Last Frequenz / Geschwindigkeitswellenbewegung innerhalb von 0,25%
Telekom-Effekt-Faktor:
● TIF (MA MG1-22) besser als 50
● THF (BS EN60034) besser als 2%
Kriterium:
● ISO8528, GB / T2820
● EN12601: 2001, EN60034-22: 1997, EN60204-1: 2006
● ISO9001: 2008 Qualitätskontrollsystem
● Isolationswiderstand Getestet gemäß GB5226.1-2002-19.3
● Widerstandsspannung geprüft nach GB7 55-2000-8.1 (mit 1500V von 60S)
● Alle elektrischen Ersatzteile wurden entsprechend geprüft mit GB5226.1-2002-19.6
● Mechanische Sicherheit getestet gemäß mit GB / T820.8-2002-6.3
● Feuerfest geprüft gemäß GB / T2820.8-20 02-6.4 / 6.5
● Alle Stromaggregate werden streng nach 25%, 50%, 75%, 100% und 110% Last geprüft.